CBSE-MATH
MAINTAINED BY G.PRAGASAM DAV- BHEL SCHOOL,RANIPET-6
Home
CLASS 6
CLASS 7
CLASS 8
OTHER EXAMS
4.1.16
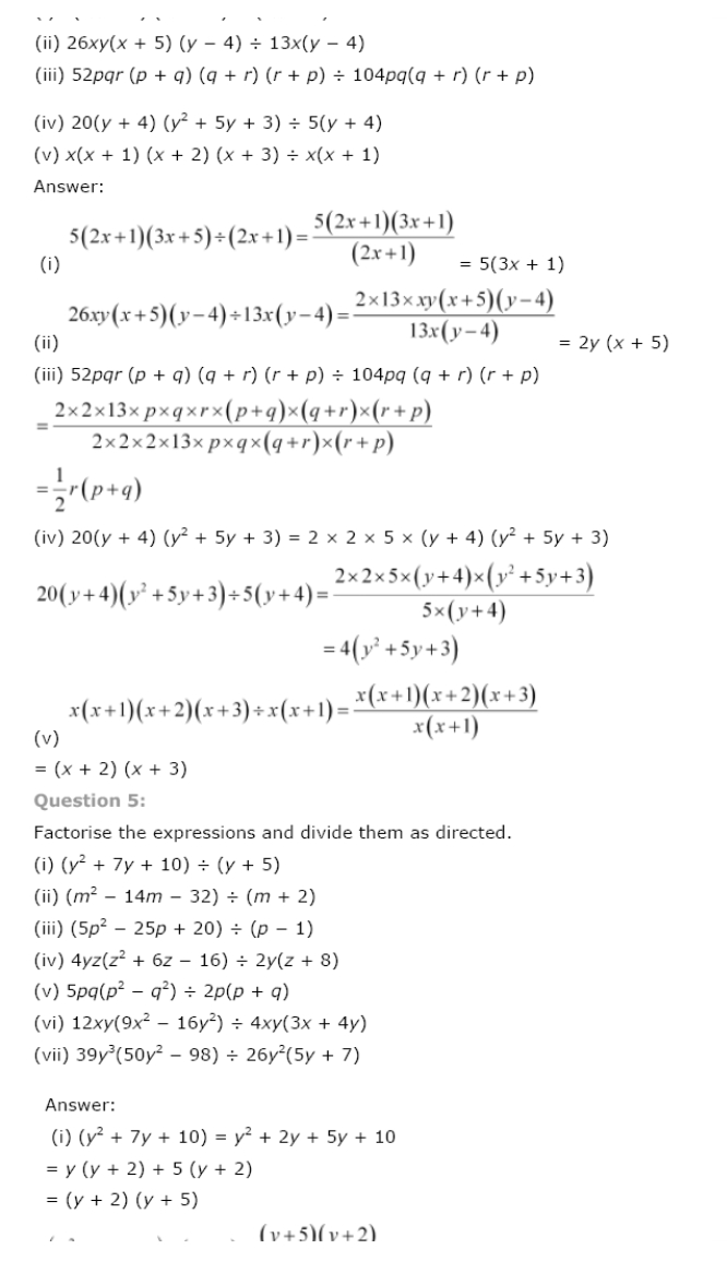
8th NCERT CH 14 Factorisation
No comments:
Post a Comment
Newer Post
Older Post
Home
Subscribe to:
Post Comments (Atom)
Latest News
New Math materials will be updated soon
Quote of the Day
Important Links
DAV-BHEL BLOG
PRAGASAM'S BLOG
NIRANJANA'S BLOG
KAVYASHREE'S BLOG
CBSE
NCERT
JEE
AIPMT
ANNA UNIVERSITY
Pageviews
No comments:
Post a Comment